复频域分析

Laplace 变换

s 具有时间的倒量纲,称为复频率

Laplace逆变换

f(t)=L1{F(s)}=12πjσjσ+jF(s)estds f(\:t\:)=\mathscr{L}^{-1}\:\{\:F(\:s\:)\:\}\:=\frac{1}{2\:\pi\mathrm{j}}\int_{\sigma\:-\mathrm{j}\infty}^{\sigma\:+\mathrm{j}\infty}F(\:s\:)\:\mathrm{e}^{st}\:\mathrm{d}s

根据拉普拉斯变换的定义可知,电流、电压象函数的单位分别为安秒(A・s)即库仑和伏秒(V・s)即韦伯

  • 部分分式分解
  • 基本变换对

复频域中的电路模型(运算电路)

电阻

uR=RiR(a) u_{_R}=Ri_{_R} \tag{a} UR(s)=RIR(s)(b) U_{_R}(\:s\:)=RI_{_R}(\:s\:)\tag{b}

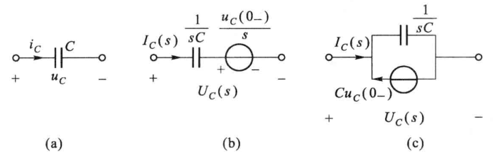
电容

iC=CduCdt(a) i_C=C\:\frac{\mathrm{d}u_C}{\mathrm{d}t}\tag{a} IC(s)=sCUC(s)CuC(0)(c) I_C(\:s\:)=sCU_C(\:s\:)-Cu_C(\:0_-\:)\tag{c} Uc(s)=1sCIc(s)+uC(0)s(b) U_c(\:s\:)=\frac{1}{sC}I_c(\:s\:)+\frac{u_C(\:0_-\:)}{s}\tag{b}

运算容抗1/sC1/sC ,具有电阻的量纲

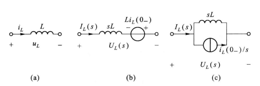
电感

uL=LdiLdt(a) u_L=L\:\frac{\mathrm{d}i_L}{\mathrm{d}t}\tag{a} UL(s)=sLIL(s)LiL(0) U_{L}(\:s\:)=sLI_{L}(\:s\:)-Li_{L}(\:0_{-})

运算感抗sLsL ,具有电阻的量纲

互感

{u1=L1di1dt+Mdi2dtu2=Mdi1dt+L2di2dt(a) \begin{cases}u_1=L_1\dfrac{\mathrm{d}i_1}{\mathrm{d}t}+M\dfrac{\mathrm{d}i_2}{\mathrm{d}t}\\\\u_2=M\dfrac{\mathrm{d}i_1}{\mathrm{d}t}+L_2\dfrac{\mathrm{d}i_2}{\mathrm{d}t}\end{cases}\tag{a} {U1(s)=sL1I1(s)+sMI2(s)L1i1(0)Mi2(0)U2(s)=sMI1(s)+sL2I2(s)Mi1(0)L2i2(0)(b) \begin{cases}U_{1}(s)=sL_{1}I_{1}(s)+sMI_{2}(s)-L_{1}i_{1}(0_{-})-Mi_{2}(0_{-})\\\\U_{2}(s)=sMI_{1}(s)+sL_{2}I_{2}(s)-Mi_{1}(0_{-})-L_{2}i_{2}(0_{-})\end{cases}\tag{b} {U1(s)=L1i1(0)+Mi2(0)U2(s)=Mi1(0)+L2i2(0)(b) \begin{cases}U'_1(\:s\:)=L_1\:i_1(\:0_-\:)+Mi_2(\:0_-\:)\\[2ex]U'_2(\:s\:)=Mi_1(\:0_-\:)+L_2i_2(\:0_-\:)\end{cases}\tag{b}

*辨析

通常使用串联模型,电容的电压源提供能量,方向为+,电感的电压源吸收能量,方向为-,

运算电路

复频域欧姆定律

将电路中所有元件均用其复频域模型表示,所得电路模型称为原电路的复频域电路模型或运算电路(operational circuit)。

Us(s)I(s)=Z(s)(运算阻抗) \frac{U_\mathrm{s}(s)}{I(s)}=Z(s)\tag{运算阻抗} 1Z(s)=I(s)Us(s)=Y(s)(运算导纳) \frac{1}{Z\left(\:s\:\right)}=\frac{I\left(\:s\:\right)}{U_{\mathrm{s}}\left(\:s\:\right)}=Y(\:s\:)\tag{运算导纳}

暂态过程分析步骤

  1. 元件处理:全部电容的 uc(0)和全部电感的 iL(0)\text{全部电容的 }u_c(0_-)\text{和全部电感的 }i_L(0_-),激励源的象函数
  2. 运算电路搭建:组合元件,复频域阻抗+附加电源+电压电流象函数
  3. 求解:求出响应象函数
  4. 求反变换:部分分式展开,或积分变换

用拉普拉斯变换分析线性动态电路的暂态过程

© 话人间的笔记小屋 | 湘ICP备2025128660号-1